Gravité quantique : la matière noire et l’énergie sombre ne seraient-elles que des illusions d’observation ?
Auteur: Mathieu Gagnon
L’énigme des composantes invisibles de l’univers

L’univers que nous pouvons observer directement ne constitue qu’une infime fraction de ce qui existe réellement. Environ 5 % seulement du cosmos est composé de matière normale, tandis qu’il est largement admis que les 95 % restants sont constitués de matière noire et d’énergie sombre. Ces deux composantes massives dominent la structure et l’expansion de l’univers, mais leur véritable nature échappe encore aux scientifiques de manière persistante.
Cette situation paradoxale soulève une interrogation fondamentale au sein de la communauté scientifique. Ce mystère découle-t-il simplement des limitations actuelles de nos capacités d’observation, ou reflète-t-il une incomplétude beaucoup plus profonde dans les lois classiques de la physique qui sous-tendent notre compréhension de l’univers depuis des décennies ?
Une approche alternative a récemment été explorée dans une étude publiée dans la revue scientifique International Journal of Modern Physics D. L’auteur y propose l’hypothèse selon laquelle la matière noire et l’énergie sombre pourraient ne pas correspondre à des substances existant physiquement. Ces phénomènes pourraient plutôt émerger en tant qu’effets effectifs découlant directement de la nature quantique de la gravité.
L’équation de Wigner-Moyal et l’espace des phases

L’étude se concentre principalement sur l’équation de Wigner-Moyal. Ce modèle mathématique formule la mécanique quantique dans l’espace des phases comme une dynamique classique à laquelle s’ajoute une série infinie de termes de correction quantique d’ordre supérieur. Cette approche offre une perspective différente sur la manière dont les systèmes physiques évoluent à l’échelle microscopique.
Contrairement à l’équation de Schrödinger, qui opère dans l’espace de Hilbert, cette représentation spécifique a la particularité de rendre explicite la connexion entre le mouvement classique et les effets quantiques. Les dérivées d’ordre supérieur présentes dans l’équation encodent des phénomènes quantiques qui sont totalement absents de la mécanique classique habituelle.
Cette formulation propose ainsi une description intuitive de la dynamique quantique dans l’espace des phases. Bien que l’équation ait été introduite par E. Moyal dans les années 1940 et ait été largement appliquée depuis, elle est réputée pour souffrir d’une grave instabilité numérique. Dans une étude antérieure publiée dans le Journal of Computational Electronics, l’auteur a démontré que cette instabilité provient d’une propriété particulière des corrections quantiques d’ordre supérieur : elles diminuent avec une résolution grossière, mais divergent de manière incontrôlable à mesure que la résolution augmente. Le système admet de ce fait plusieurs régimes de solutions en fonction de la résolution partielle nommée ΔxΔk.
La stabilité numérique au seuil de résolution ΔxΔk ∼ 1

Le premier régime de solution identifié par l’étude se manifeste lorsque la résolution partielle se situe autour de la valeur ΔxΔk ∼ 1. Dans cette configuration précise, les corrections quantiques d’ordre supérieur sont correctement limitées et ne présentent pas de divergences mathématiques.
C’est à ce niveau spécifique que la cohérence quantique standard émerge de manière naturelle. Les comportements typiques des systèmes quantiques tels que nous les connaissons et les modélisons traditionnellement deviennent alors observables et cohérents avec les attentes théoriques.
Dans ce cas de figure, la stabilité numérique du système est pleinement récupérée, et ce, pour des profils de potentiel arbitraires. La simulation et le calcul du comportement des particules peuvent ainsi s’effectuer sans les erreurs divergentes qui affectent d’autres niveaux de résolution.
L’instabilité et les microstructures à haute résolution (ΔxΔk ≪ 1)

Le deuxième scénario se déroule lorsque la résolution augmente de manière significative, atteignant des valeurs très inférieures à un, notées ΔxΔk ≪ 1. Dans ce régime, le comportement de l’équation change radicalement, et les termes de correction se mettent à croître rapidement.
Cette croissance fulgurante a pour effet de révéler des microstructures quantiques extrêmement détaillées, ainsi que des trajectoires quantiques très nettes. Le système entre dans une phase où le niveau de détail dépasse la capacité de stabilisation de la dynamique modélisée.
Ces éléments extrêmement fins peuvent rendre la matrice du système mal posée d’un point de vue mathématique. C’est précisément cette abondance de détails à haute résolution qui provoque l’instabilité numérique sévère associée historiquement à l’équation de Wigner-Moyal.
Le retour à la dynamique classique à faible résolution (ΔxΔk ≫ 1)

Le troisième et dernier régime se présente lorsque la résolution devient très grossière, ce qui correspond à des valeurs de ΔxΔk ≫ 1. Dans cette situation, les détails microscopiques du système sont lissés et perdus de vue.
Conséquence directe de cette perte de résolution, les termes d’ordre supérieur qui encodent les comportements spécifiquement quantiques finissent par s’annuler et disparaître complètement des calculs.
La dynamique globale du système se réduit alors inexorablement à un comportement classique de premier ordre. Les effets quantiques s’effacent pour laisser place aux lois de la mécanique classique, familières à l’échelle macroscopique.
L’effet tunnel et l’émergence de la décohérence

L’étude relève un phénomène intéressant lorsque la résolution augmente vers le régime ΔxΔk ≪ 1. Les valeurs négatives de la fonction de Wigner, qui sont une signature de la nature quantique, sont progressivement supprimées, entraînant une distribution qui devient de plus en plus classique.
Ce mécanisme est particulièrement visible dans un exemple simple de franchissement d’une barrière unique par effet tunnel. L’interférence quantique émerge logiquement lorsque la résolution est autour de ΔxΔk ∼ 1. Cependant, cette même interférence disparaît purement et simplement dans la limite de haute résolution (ΔxΔk ≪ 1), moment où le système évolue irrémédiablement vers une distribution classique positive.
Cette évolution supprime l’effet tunnel quantique, ce qui conduit à une localisation statistique renforcée et rend les transitions à travers les barrières de potentiel nettement plus difficiles. Ces résultats suggèrent que le fait de résoudre les structures de l’espace des phases au-delà du principe d’incertitude induit naturellement une transition des statistiques quantiques vers les statistiques classiques. Cela implique qu’un comportement semblable à la décohérence pourrait en réalité être déjà encodé au cœur même de la mécanique quantique.
La relativité gravitationnelle par les corrections quantiques

En s’appuyant sur ces mécanismes de l’espace des phases, l’auteur propose d’interpréter les corrections quantiques dépendantes de la résolution comme des effets relativistes induits par la gravitation. L’idée centrale est que si la résolution de l’espace des phases augmente avec le potentiel gravitationnel, les corrections quantiques deviennent alors dépendantes de la position géographique dans l’univers.
Dans les environnements où les champs gravitationnels sont intenses, ces corrections croissent de manière exponentielle. Une fois soumise à une normalisation appropriée, la dynamique résultante reproduit fidèlement le comportement post-newtonien de premier ordre. De plus, elle s’accorde parfaitement avec les tests de la relativité générale réalisés dans des champs faibles.
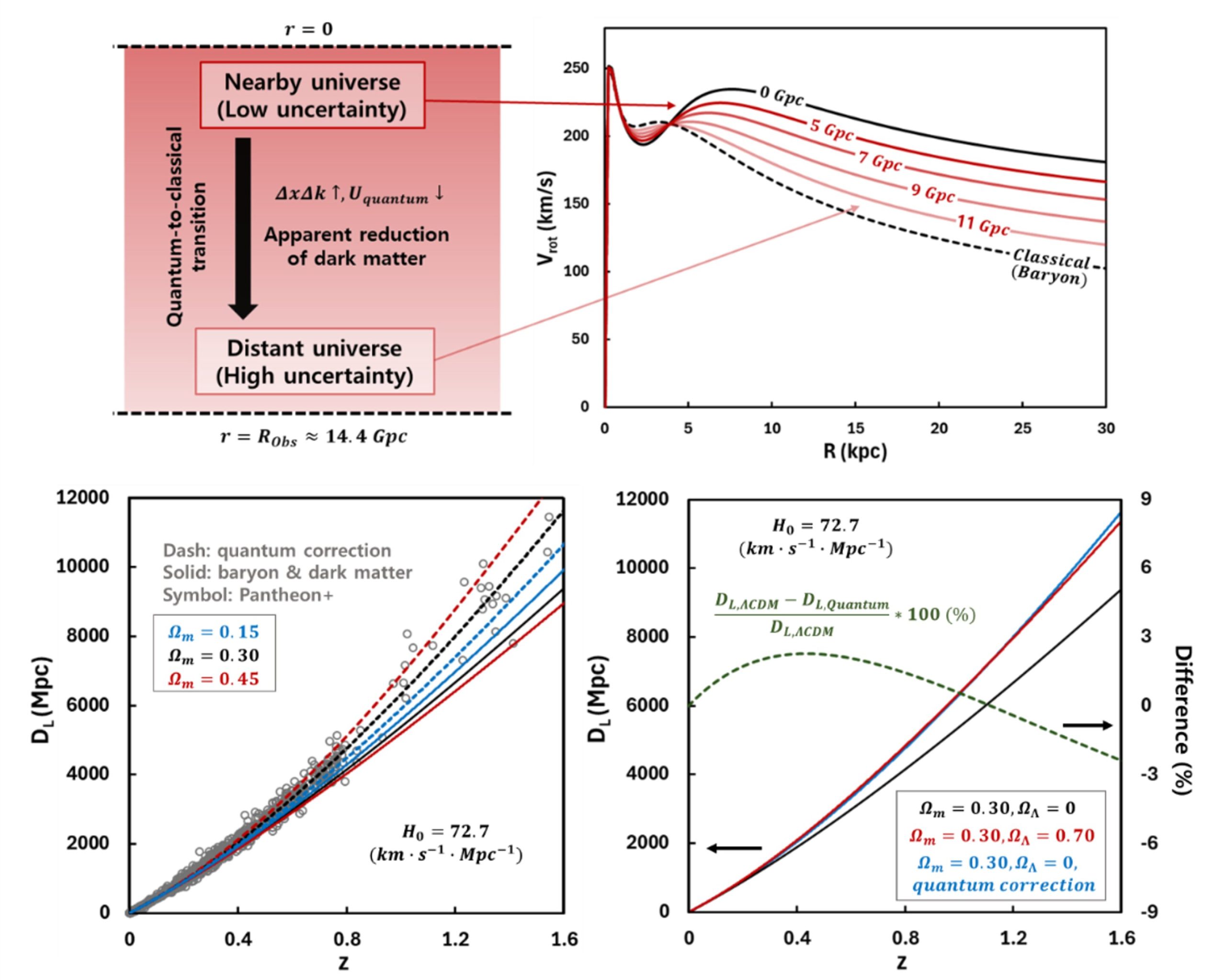
La métrique quantique qui en est dérivée apparaît sous une forme exponentielle. Cette particularité permet de préserver le principe de superposition dans les systèmes à N corps et d’éviter l’apparition de singularités problématiques, telles que les horizons des événements entourant les trous noirs. Lorsque l’on prend en compte le potentiel gravitationnel de l’ensemble de l’univers observable, la résolution de fond qui en résulte devient ΔxΔk ∼ 1. Cette valeur coïncide exactement avec l’échelle de correction quantique à laquelle la cohérence émerge et où le comportement de la mécanique quantique standard se réalise.
Une redéfinition de la matière noire comme force quantique

Dans ce modèle, les corrections quantiques sont rédigées sous la forme de produits mathématiques combinant des dérivées d’ordre élevé du potentiel gravitationnel et de la fonction de distribution. Bien qu’elles soient tout à fait négligeables dans les zones de champs gravitationnels faibles, elles adoptent un rôle crucial ailleurs.
Elles agissent en effet comme une force effective supplémentaire lorsque la courbure du potentiel est significative et que les distributions statistiques de masse adoptent une forme ondulatoire. Ces deux conditions préalables sont naturellement remplies au sein des galaxies, qui présentent à la fois une forte courbure et une structure d’onde de densité.
En modélisant les galaxies comme des paquets d’ondes de densité, ces corrections peuvent être réduites à un potentiel gravitationnel additionnel au sein de la dynamique newtonienne, ce qui permet de reproduire les courbes de rotation plates observées par les astronomes. Dans cette interprétation, la notion de matière noire ne correspond pas à une masse cachée, mais bien à des forces corrigées quantiquement, gouvernées par la courbure du potentiel baryonique et la nature ondulatoire des distributions de masse. Le cadre suggère ainsi que les courbes de rotation peuvent varier de manière significative en fonction de la morphologie d’une galaxie et des effets d’interférence provenant de son environnement immédiat.
L’évolution cosmique : l’illusion de l’énergie sombre

Lorsque les astronomes observent des époques cosmiques plus anciennes, le potentiel gravitationnel effectif diminue. Cette baisse entraîne inévitablement une réduction de la résolution du système et supprime par conséquent l’intensité des corrections quantiques.
Ce phénomène pousse alors le système cosmique vers une dynamique classique de premier ordre. C’est ce mécanisme particulier qui fait que les galaxies lointaines semblent contenir une proportion beaucoup plus faible de matière noire. Cela conduit à la prédiction selon laquelle les galaxies situées à un décalage vers le rouge plus élevé montreraient des déclins plus rapides de leur vitesse de rotation, imitant ainsi l’apparence d’une fraction de matière noire en pleine évolution.
Parallèlement, la réduction des corrections quantiques à de très grandes distances modifie les relations entre le décalage vers le rouge et la distance cosmique. Cela produit une accélération apparente de l’expansion cosmique, sans qu’il soit nécessaire d’invoquer la présence d’une énergie sombre. Ce cadre théorique est capable d’expliquer les données des supernovas de type Ia (le jeu de données Pantheon+) et ressemble de très près au modèle ΛCDM. Il présente toutefois des déviations subtiles qui imitent les modèles d’énergie sombre évolutive. Pour permettre une comparaison quantitative précise avec la cosmologie standard, des recherches supplémentaires utilisant les données du fond diffus cosmologique (CMB) et des oscillations acoustiques des baryons (BAO) — qui sont pertinentes pour la physique de l’univers primordial et la structure à grande échelle — sont encore requises.
L’observation façonne-t-elle la réalité de l’univers ?

La mécanique quantique est souvent considérée comme produisant une solution unique et bien définie sous le régime du principe d’incertitude. L’étude démontre cependant que dans une formulation basée sur l’espace des phases, la dynamique quantique admet de multiples solutions qui dépendent directement de la résolution. À mesure que des microstructures quantiques plus fines sont résolues, le système subit une transition, semblable à la décohérence, vers des statistiques purement classiques. Si de tels effets de résolution sont effectivement médiés par la gravité, ce cadre s’étend de manière naturelle à la théorie relativiste et rend compte des mystères de la matière noire et de l’énergie sombre. Tout cela est rendu possible sans avoir recours à l’invocation d’entités cachées ni nécessiter la modification de la théorie fondamentale existante.
Dans cette perspective, il est possible que la réalité cosmique ne soit pas entièrement spécifiée a priori. Elle deviendrait plutôt progressivement définie par l’acte même d’observation. L’auteur propose une analogie frappante, suggérant que cet univers fonctionne un peu comme une « simulation informatique » dans laquelle le monde n’est pas entièrement rendu tant qu’il n’est pas activement observé par un système.
Pour conclure cette réflexion sur les fondements de notre physique, l’auteur s’interroge : « Est-ce simplement une coïncidence que les corrections quantiques dépendantes de la résolution au-delà de la dynamique classique puissent rendre compte d’un si large éventail de phénomènes qui ont longtemps échappé aux théories conventionnelles ? »
Ce récit s’inscrit dans le cadre de Science X Dialog, une plateforme où les chercheurs ont l’opportunité de rendre compte des résultats issus de leurs articles de recherche publiés. Les lecteurs sont invités à visiter cette page spécifique pour obtenir de plus amples informations concernant Science X Dialog et découvrir les modalités de participation à ce programme éditorial.
Selon la source : phys.org