Un signal d’onde gravitationnelle met à l’épreuve la théorie de la relativité générale d’Einstein
Auteur: Mathieu Gagnon
Une clarté jamais vue en dix ans

Pour les passionnés qui scrutent le ciel en attendant que l’univers fasse des vagues, retenez bien ce nom de code : GW250114. C’est du lourd. C’est tout simplement le signal d’ondes gravitationnelles le plus clair jamais enregistré à ce jour provenant de la fusion de deux trous noirs. Une opportunité en or pour mettre à l’épreuve, une fois de plus, la célèbre théorie de la relativité générale d’Albert Einstein.
Ce qui est fascinant, c’est l’impression de déjà-vu. Selon Keefe Mitman, physicien à Cornell et boursier postdoctoral de la NASA Hubble, cet événement est quasiment la copie conforme du tout premier signal observé il y a dix ans, le GW150914. Alors, pourquoi celui-ci est-il si spécial ? « La raison pour laquelle c’est tellement plus clair, c’est purement parce que nos détecteurs sont devenus beaucoup plus précis au cours des dix dernières années », explique le chercheur.
Cette analyse a fait l’objet d’une publication dans la prestigieuse revue Physical Review Letters, intitulée « Black Hole Spectroscopy and Tests of General Relativity with GW250114 ». C’est le fruit d’un énorme travail d’équipe mené par la Collaboration Scientifique LIGO, la Collaboration Virgo en Italie et la Collaboration KAGRA au Japon. D’ailleurs, les chercheurs de Cornell sont sur le pont depuis le début du projet LIGO-VIRGO-KAGRA, au début des années 1990.
Quand l’espace résonne comme une cloche

Revenons aux faits. Cette onde gravitationnelle — imaginez une ondulation dans l’espace-temps provoquée par le choc titanesque de deux trous noirs — a atteint les observatoires américains LIGO le 14 janvier 2025. Comme le veut la tradition, chaque onde porte le numéro de sa date de détection, même si l’équipe LIGO-VIRGO-KAGRA n’a annoncé celle-ci qu’en septembre 2025.
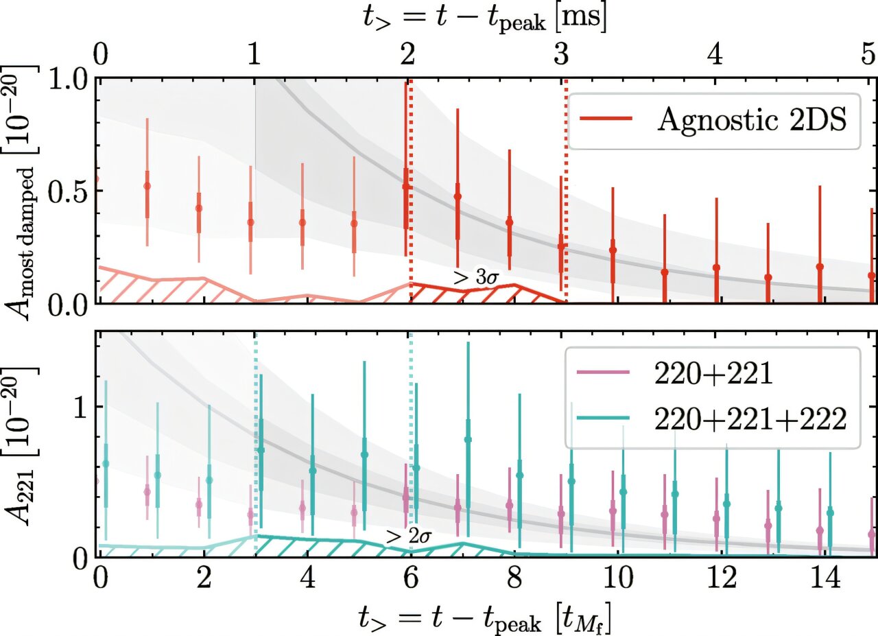
Bon, concrètement, comment on teste Einstein avec ça ? Quand deux trous noirs fusionnent, la collision « sonne » un peu comme une cloche. Mitman explique que cela émet des tonalités spécifiques caractérisées par deux chiffres : une fréquence oscillatoire et un temps d’amortissement. D’habitude, en mesurant une seule tonalité dans les données, on peut calculer la masse et le spin (la rotation) du nouveau trou noir formé.
Mais avec un signal aussi propre que GW250114, c’est une autre histoire. Les chercheurs ont pu mesurer deux tonalités distinctes (et en contraindre une troisième). Selon la relativité générale, chaque tonalité doit vous donner le même résultat pour la masse et le spin. « Si ces deux mesures concordent, vous vérifiez effectivement la relativité générale », précise Mitman. En revanche, si les tonalités ne racontent pas la même histoire, c’est le signe qu’on s’éloigne des prédictions d’Einstein.
Einstein tient bon… mais les physiciens cherchent la faille

Verdict ? GW250114 était suffisamment clair pour permettre ce double contrôle. Et tout concorde parfaitement avec la relativité générale d’Einstein. Mais que se serait-il passé si ce n’était pas le cas ? « Alors nous aurions eu beaucoup de travail à faire en tant que physiciens pour essayer d’expliquer ce qui se passe et quelle serait la véritable théorie de la gravité dans notre univers », confie Mitman.
C’est là tout le paradoxe. Les physiciens se doutent qu’à un moment donné, la théorie d’Einstein montrera ses limites. Pourquoi ? Parce qu’elle n’explique pas tout, notamment l’énergie noire, la matière noire, ou ce qui se passe à l’échelle quantique. « Il doit y avoir un moyen de résoudre ce paradoxe pour rendre notre théorie de la gravité cohérente avec notre théorie de la mécanique quantique », insiste le physicien.
L’espoir de Mitman et de ses collaborateurs, c’est que les futures ondes gravitationnelles finissent par dévier des prédictions classiques. Ils guettent la moindre signature de la « gravité quantique » qui s’imprimerait sur ces signaux. « L’espoir est que nous verrons ces déviations un jour et que cela nous guidera vers ce que pourrait être la véritable théorie de la gravité quantique. » En attendant, Einstein reste le patron.
Selon la source : phys.org
Créé par des humains, assisté par IA.